UnionActive
Newswire
|
Fight Back - Stop Optimum Contracting
12/05/25 - CWA Local 1103 Yesterday at 7:10 a.m., CWA Local 1103, CWA Local 1109, and CWA District 1 were abruptly notified that Optimum intends to sell the fulfillment side of its business to MasTec North America, Inc. This was the first and only notice the union received about this major decision, despite its clear impact on our members, our work, and our collective bargaining rights. Any rumor — or any claim by the company or management — that the union was notified in advance is patently false. It is simply a lie. |
|
Virginia Tax Exemption
12/05/25 - CWA Local 2222 Just a reminder to all Non-Virginia residents that need to be exempted from Virginia taxes. You will need to resubmit the Virginia exemption form by December 23rd 2025. |
|
YCP Toys for Tots Event
12/05/25 - Teamsters Local 776 Local 776 Members at the York County Prison Maintenance Department are participating in their 5th annual Toys for Tots collection drive. During this drive, they strive to work together to support our local radio station, 96.1 SOX TOY CHALLENGE, 2025. Todd Fritz will park his 5-ton Army truck in hopes of filling the truck with toys for our local kids. |
|
Contract Ratified at Morgan Foods
12/04/25 - Teamsters Local 89
Teamsters Local 89 members at Morgan Foods in Austin, Indiana have ratified a strong new six-year agreement with an overwhelming 89% majority.
The new contract includes the strongest wage increases in the shop’s history with an average pay increase of 31% over the life of the contract, $2.00 of which has already been applied to members hourly rates. |
|
Why Gen Z Men Are the Most Pro-Union Generation in History
12/04/25 - Teamsters Local 355 Dec. 4, 2025 | ECONOMY | Unions are popular across ages and demographic groups in America, but Gen Z men stand out for their high levels of support. |
|
Vigil for Andrew Wolfe
12/04/25 - CWA Local 2222 There will be a vigil on Friday December the 5th at 7pm for CWA Local 2222 member Andrew Wolfe, who is still in critical condition. The vigil will be held at Musselman High School on the football field. The address for the high school is 126 Excellence Way, Inwood, WV 25428 for any member wishing to attend. |
|
Important Update on Optimum’s (Altice) Announcement
12/04/25 - CWA Local 1103
Today, CWA received formal notice that Optimum (Altice) has made what it calls an “entrepreneurial decision” to sell the fulfillment side of its business to MasTec North America, Inc. This sale includes all Field Service Technicians and Quality Control Technicians, with an expected transition date of February 1, 2026 ( |
|
4th Annual Teamsters Local 41 Toy Drive
12/04/25 - Teamsters Local 41 . |
|
Judge: Amazon’s Workplace Gag Order Violates Labor Law
12/03/25 - Teamsters Local 355 Dec. 3, 2025 | WORKERS’ RIGHTS | Amazon.com Inc. must rewrite several workplace policies after a National Labor Relations Board judge held the company forced employees to sign unlawfully restrictive agreements starting in 2020. |
|
Steward Elections
12/03/25 - Communications Workers of America Local 1107 The following petitions for Steward have been received and recognized. |
|
Veteran's Committee Corn Hole Tournament
12/02/25 - IBEW Local 100
The Local 100 Veteran's Committee will be hosting a Cornhole Tournament on Saturday, January 17th, 2026 at 9am at the Hall. Two person teams will compete in a bracket style tournament. $10 per person to enter. To sign up, send an email to mromero7680@gmail.com, with team name and members names. Spots are limited so sign up early. |
|
FROM THE APWU- We Make the Holidays Happen!
12/02/25 - American Postal Workers Union National Postal Press Association The holiday season is here. For the public, it’s a time of anticipation. For us, it’s a test of endurance. While kids and families across the country eagerly await their gifts and the holiday magic that comes with it, we know that magic takes a lot of our hard work. |
|
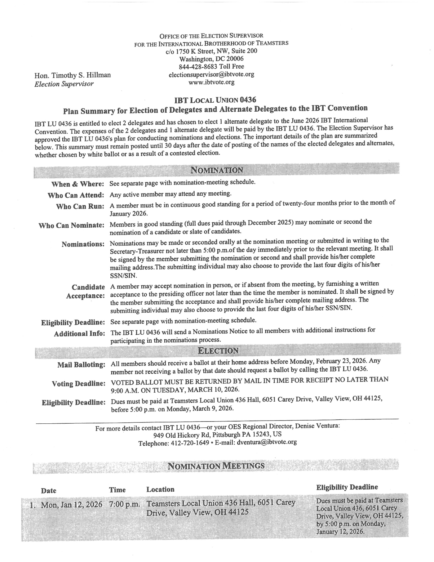
plan summary
12/01/25 - Teamsters Local 29 @media only screen and (max-width: 730px){ .pdfview{height:500px !important} @media only screen and (max-width: 730px){ .pdfview{height:500px . |
|
December GMM
12/01/25 - Teamsters Local 162
Teamsters Local 162 – December General Membership Meeting
Join us for our December General Membership Meeting on Sunday, December 7th at 10:00 AM PT / 11:00 AM MT.
Zoom Option:
Members living 75+ miles from the Local may attend via Zoom webinar to listen to officer reports. |
|
Month ending 11/30.2025
11/30/25 - Teamsters Local 355 • Starbucks strikers say company ‘has made no contact’ • UPS struggling to fulfil holiday deliveries after deadly cargo crash • Maryland's commute times rise to the second-longest in the US. • Tyson to close major beef facility, shafting 3,000 workers • Pittsburgh journalists end 3-yr. |
|
Happy Thanksgiving
11/27/25 - CWA Local 2222 Happy Thanksgiving from the CWA Local 2222 E-Board. We would like to wish everyone a happy and safe holiday. As you give thanks with your families, please keep the Wolfe family in your prayers. Andrew Wolfe was one of the West Virginia National Guardsmen critically injured during the attack in Washington DC yesterday. Mr. Wolfe is a CWA Local 2222 member out of Martinsburg, WV. |
|
Grateful and Thankful
11/27/25 - IATSE Local B4 Wishing our B-4 usher community a nice Thanksgiving. As I look back on the year to date, and ahead to the busy show-filled holiday season, I thank you all for your professionalism and service to the Greater Boston performing arts community. With new members joining monthly, our local continues to grow and thrive. I echo the sentiment of Colleen Glynn, IATSE Local 11 Vice President, in thanking you for everything you do as we embrace and celebrate Solidarity, Security & Prosperity. Sincerely, Your Executive Board |
|
HAPPY THANKSGIVING
11/27/25 - Teamsters Local Union No 570
On behalf of Teamsters Local Union No. 570, we wish you and your family a very Happy Thanksgiving!
Please note: Our office will be closed on 11/27 and 11/28 and will reopen Monday morning, 12/1/2025.
Enjoy the holiday and stay safe. |
|
First Contract Unanimously Ratified at Real Alloy
11/26/25 - Teamsters Local 89
REAL ALLOY WORKERS WIN FIRST TEAMSTERS CONTRACT
MORGANTOWN, KENTUCKY – Workers at the Real Alloy aluminum recycling and alloy production plant voted unanimously to ratify their first union contract, formally making them the newest members of Teamsters Local 89. |
|
Happy Thanksgiving!
11/26/25 - Teamsters Local 776 On behalf of the Officers, Agents, Staff, and myself, I would like to wish everyone a happy and safe Thanksgiving. More people travel for Thanksgiving than for any other U.S. holiday. If you are traveling to gather with family and friends during the holiday, please be safe. We all have so much to be thankful for. |
|
We have moved!
11/25/25 - IBEW Local 545 IBEW local 545 has moved! Come see us at our new location 5804 Corporate Dr. St. |
|
How and Why Billionaires Are Dismantling Public Education
11/25/25 - Communications Workers of America Local 3181 Please watch this informative video documenting the war on public education: https://youtu.be/5oUItPqK8P0. |
|
Stop Big Tech Power Grab....
11/25/25 - Teamsters Local 87 Stop the Big Tech Power Grab: Take Action to Keep Congress from Stealing Your Rights |
|
IMPORTANT HEALTH PLAN UPDATE!
11/25/25 - APWU Cleveland Area Local
The correct 2026 biweekly premium rates for career APWU bargaining unit employees enrolled in PSHB for more than one year are:
Self Only $30.16
Self Plus One: $70.60
Self and Family: $82.48
These premium rates are still the lowest rates available to APWU bargaining unit members. |
|
Thanksgiving Basket Drive Winners
11/25/25 - APWU Cleveland Area Local
Congratulations to this year's 3rd Annual Thanksgiving Basket Drive Winners. |
|
Unions Back Amendment to Shield Pentagon Workers
11/24/25 - Teamsters Local 355 Nov. 24, 2025 | BARGAINING RIGHTS | Federal-sector unions are supporting an effort to secure bargaining rights for Pentagon employees as lawmakers finalize last-minute amendments to the military’s must-pass legislation. |
|
In Solidarity
11/24/25 - Teamsters Local 90 Join us on December 2nd at 10 AM. Let’s stand together and show your support for our nurses! Be there. Be loud. Be proud. |
|
Holiday Schedule
11/24/25 - I.B.E.W. Local Union 266 The Office will be closed December 24th - 26th for Christmas and January 1st - 2nd for New Years. We hope you all have a wonderful holiday with your family and friends. |
|
Local 10 Veteran Tee shirt
11/24/25 - IUEC Local 10 Local 10's Veteran Tee Shirt has arrived! They are available for purchase M-F 6:00am-3:30pm, cash or check only. L-XL $35.00 2XL $37.00 3XL $38.00 @media only screen and (max-width: 730px){ .pdfview{height:500px . |
|
Annual Thanksgiving Feed a Family Event
11/22/25 - IBEW local 2325 There is still time to participate or donate. |
|
Week Ending 11/21/2025
11/21/25 - Teamsters Local 355 • Freightwaves: Yellow Corp. |
|
IBEW Holiday Party
11/21/25 - IBEW Local 100
Below is the link for the Holiday Inn discounted rooms:
|
|
Need A Plumber? Hire Union And SAVE $200!
11/21/25 - Southwest Washington Central Labor Council
UA Local 290 is helping lower the cost of hiring a highly-trained union plumber by offering Southwest Washington homeowners a $200 rebate on plumbing services from the union's contractors. |
|
2025 Local 32 Officer Election Results
11/21/25 - AMFA Local 32 The 2025 LEC Officer election is complete. Official results are now posted. Thank you to all Members who voted and to the candidates who ran. |
|
Support CWA’s Charity of Choice
11/21/25 - CWA Local 1123 Did you know? CWA’s Charity of Choice, the Elizabeth Glaser Pediatric AIDS Foundation (EGPAF), has been transforming the lives of children by fighting HIV for over 37 years. Every year, CWA members and retirees help sustain this mission through our $1 per member contribution, a simple act that carries an extraordinary impact. |
|
ANNUAL CHRISTMAS PARTY
11/20/25 - APWU Cleveland Area Local
For discounted room rates, click here: https://www.wyndhamhotels.com/wyndham/independence-ohio/wyndham-independence/rooms-rates. |
|
NO MEMBERSHIP MEETINGS IN DECEMBER
11/20/25 - Communications Workers of America Local 3181 Have a Happy Thanksgiving, Merry Christmas and a Happy New Year. |
|
Honoring Our Public Safety Heroes at the Texas State Bobcats Tailgate and Game
11/20/25 - Travis County Sheriff's Officer's Association @media only screen and (max-width: 760px){ .contenttable img{max-width:100%; width: auto !important; height:auto . |
|
First Group of CDL Drivers at Amazon Join Teamsters
11/20/25 - Teamsters Local 355 Nov. 20, 2025 | ORGANIZING | In a first-of-its-kind victory, Amazon CDL drivers at the SDF9 facility in Shepherdsville, Ky., have become the first group of Amazon semi-truck and tractor-trailer drivers nationwide to join the Teamsters. The Amazon Transportation Operations Management (TOM) Team drivers chose representation by Teamsters Local 89. |
|
CWA Joe Beirne Foundation scholarship for 2026-2027
11/20/25 - CWA Local 1123 The Foundation’s Board of Directors has approved the awarding of sixteen (16) partial college scholarships of $4,000 each for two years. Eligible for the scholarships are CWA members, their spouses, children, and grandchildren, including the dependents of retired, laid-off, or deceased members. |
|
Yellow Corp. Bankruptcy Update
11/20/25 - Teamsters Local 776 Please see below for important information from the IBT concerning the Yellow Corp bankruptcy proceedings. |
|
Air Canada Update from AMFA National President
11/19/25 - AMFA November 19, 2025 -- On November 18, 2025, the Canada Industrial Relations Board (CIRB) released its final order confirming the fragmentation of the Air Canada TMOS Unit. The Board had been in possession of the complete briefing record since February, and its decision reflects careful consideration and analysis. |
|
South City Santa Donations
11/19/25 - Saint Louis Police Officers Association
Members,
In the coming days you will see donation boxes in the area stations, headquarters, communications and at the SLPOA Hall. SLPOA is working with community leaders, SSM Health and the Tiffany Park Neighborhood Association to host a South City Santa event. We are asking for toy donations to assist with this community outreach event. |
|
2025 TWU Local 513 Christmas Event
11/19/25 - TWU Local 513 @media only screen and (max-width: 730px){ .pdfview{height:500px . |
|
News Tribune Investigative Report on PC Staffing
11/18/25 - Pierce County Deputy Sheriff's Independent Guild We appreciate this extremely in-depth article from the TNT about our staffing crisis. This explains a lot of our current issues. Article: Pierce County has grown rapidly. How has that changed rural policing. |
|
Workers Organize to Resist ICE
11/18/25 - Teamsters Local 355 Nov. 18, 2025 | SOLIDARITY | ICE has invaded our cities and communities across the US, and they are under assault. From Chicago to LA, in cities large and small, masked armed men are dragging people off the street, out of their cars, and from their places of employment and disappearing them into detention centers for deportation. |
|
NEASO BOD Election 2025 - Candidates Statement
11/17/25 - NEASO @media only screen and (max-width: 730px){ .pdfview{height:500px . |
Headlines Provided By:
GrievTrac.com - Online Grievance Tracking Software, 100% Union Made in the USA.
UnionReach.net - Free real time union push messaging app. Send to all members or specific groups.
UnionActive.com - Website Content Management System with Powerful Communication Tools for Union Website's, 100% Union Made in the USA.
Unions-America.com - Union Website Design, Union Website Hosting, 100% Union Made in the USA.









.png)




